용인 둔전역 에피트 아파트 청약 정보 분양가 분석
안녕하세요! 오늘은 경기도 용인시 처인구 포곡읍 금어리에 위치한 둔전역 에피트 아파트의 청약 정보를 자세히 정리해보겠습니다. 이 글을 통해 청약 준비에 필요한 모든 정보를 제공해드리니, 청약을 고려 중이신 분들은 꼼꼼히 살펴보시기 바랍니다.

단지 개요: 용인 둔전역 에피트
둔전역 에피트는 경기도 용인시 처인구 포곡읍 금어리 640-1에 위치한 대단지 아파트로, 2027년 7월 준공을 목표로 하고 있습니다. 이 단지는 지하 3층에서 지상 29층까지의 총 13개 동으로 구성되어 있으며, 1,275세대가 거주할 예정입니다. 용인 둔전역과 가까워 교통이 편리하며, 주변 생활 인프라도 잘 갖추어져 있어 실거주자에게도, 투자자에게도 매력적인 선택지가 될 수 있습니다.

단지 주요 정보
- 단지명: 용인 둔전역 에피트
- 주소: 경기도 용인시 처인구 포곡읍 금어리 640-1
- 주택 유형: 공동주택(아파트)
- 단지 규모: 1,275세대, 총 13개 동 (지하 3층 ~ 지상 29층)
- 준공 예정일: 2027년 7월
- 주택형: 68㎡, 84㎡, 101㎡
- 규제지역: 비규제지역
- 재당첨 제한: 없음
- 전매 제한: 6개월
- 거주의무기간: 없음
- 분양가상한제: 미적용
둔전역 에피트는 비규제지역에 위치해 있어 청약 조건이 상대적으로 완화된 편입니다. 특히 재당첨 제한이 없으며, 전매 제한도 6개월로 짧아 투자자들에게 유리한 조건을 갖추고 있습니다.
청약 일정 및 절차: 중요한 청약 일정을 놓치지 마세요

둔전역 에피트의 청약 일정은 2024년 8월 19일에 입주자 모집 공고가 발표되면서 시작됩니다. 이후 특별공급 접수는 9월 2일에, 일반공급 접수는 9월 3일과 9월 4일에 이루어집니다. 당첨자는 9월 10일에 발표되며, 서류 접수는 9월 19일부터 9월 23일까지 진행됩니다. 계약 체결은 9월 25일부터 9월 28일까지 진행됩니다.
청약 일정

- 입주자 모집 공고일: 2024년 8월 19일(월)
- 특별공급 접수일: 2024년 9월 2일(월)
- 일반공급 접수일:
- 당첨자 발표일: 2024년 9월 10일(화)
- 서류 접수일: 2024년 9월 19일(목) ~ 9월 23일(월)
- 계약 체결일: 2024년 9월 25일(수) ~ 9월 28일(토)
청약 접수는 청약홈을 통해 온라인으로 진행되며, 청약통장 자격 요건을 충족하는 분들만 신청이 가능합니다. 특히, 1순위 청약에서는 가점제와 추첨제가 적용되므로 본인의 가점을 미리 확인하고 청약 전략을 세우는 것이 중요합니다.
청약 자격 및 당첨자 선정 방법: 철저한 자격 요건 확인
용인 둔전역 에피트의 일반공급 청약 자격은 2024년 8월 19일 입주자 모집공고일 기준으로 용인시 또는 수도권(경기도, 서울, 인천)에 거주하는 만 19세 이상 또는 세대주인 미성년자에게 부여됩니다.
청약 자격 요건

- 거주 요건: 용인시 및 수도권(경기도, 서울, 인천)에 거주하는 만 19세 이상이거나 세대주인 미성년자(자녀 양육, 형제 자매 부양).
- 청약통장 요건: 순위별 청약통장 자격 요건을 충족해야 함.
당첨자 선정 방식

- 1순위 가점제: 지역, 가점, 청약통장 유지 기간, 추첨 순으로 당첨자 선정.
- 2순위 추첨제: 지역, 무주택자 우선 공급, 추첨 순으로 당첨자 선정.
지역 기준
- 해당 지역 거주자: 용인시 거주자.
- 기타 지역 거주자: 경기도, 서울, 인천 거주자.
특히 전용면적 60㎡ 초과 85㎡ 이하는 가점제 40%, 추첨제 60%의 비율로 당첨자를 선정하며, 85㎡ 초과 주택형은 추첨제 100%로 당첨자를 결정합니다.
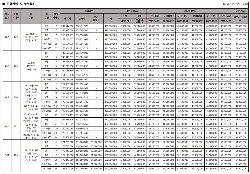
공급 세대 정보 및 분양가: 합리적인 가격과 다양한 선택지

용인 둔전역 에피트는 전용면적 68㎡, 84㎡, 101㎡의 3가지 평형으로 구성되어 있으며, 총 1,275세대가 공급될 예정입니다. 각 평형은 A, B 타입으로 나뉘어 다양한 선택지를 제공합니다.
공급 세대수
- 68A: 149세대
- 68B: 124세대
- 84A: 366세대
- 84B: 471세대
- 101: 165세대
분양가
- 68A: 4억 800만 원 ~ 4억 3천1백만 원 (발코니 확장비: 2천3백만 원)
- 68B: 3억 9천7백만 원 ~ 4억 2천4백만 원 (발코니 확장비: 2천3백만 원)
- 84A: 4억 5천6백만 원 ~ 4억 8천8백만 원 (발코니 확장비: 2천7백만 원)
- 84B: 4억 5천7백만 원 ~ 4억 8천3백만 원 (발코니 확장비: 2천7백만 원)
- 101: 5억 5천만 원 ~ 5억 4천만 원 (발코니 확장비: 3천2백만 원)
분양가는 주변 시세와 비교해 볼 때 경쟁력 있는 수준이며, 다양한 평형대와 타입을 통해 자신의 주거 스타일에 맞는 선택을 하실 수 있습니다.
납부 일정: 철저한 자금 계획이 필요

청약 당첨 후에는 계약금, 중도금, 잔금으로 이루어진 납부 일정을 철저히 준수해야 합니다. 계약금은 2회에 나누어 납부하며, 중도금은 6회에 걸쳐 납부하게 됩니다.
납부 일정
- 계약금: 10,000,000원
- 중도금: 분양가의 10% 씩 6회 납부
- 잔금: 2027년 7월 입주 시 납부 (30%)
자금 계획을 철저히 세워 계약금과 중도금 납부에 차질이 없도록 준비하시기 바랍니다. 주택담보대출을 고려하시는 경우, 대출 한도와 금리를 미리 확인해보는 것도 좋습니다.
투자 의견: 장점과 단점을 비교한 신중한 접근 필요


용인 둔전역 에피트는 총 1,275세대의 대단지로, 전용면적 68㎡, 84㎡, 101㎡의 3가지 평형으로 구성되어 있습니다. 분양가는 4억 원대에서 5억 원대까지 다양하게 책정되어 있으며, 주변 신축 아파트와 비교했을 때 합리적인 수준으로 평가됩니다.
이러한 시세를 바탕으로 볼 때, 둔전역 에피트의 분양가는 근처 신축 아파트와 비교해 다소 높은 편으로 보입니다. 그러나 용인 둔전역의 발전 가능성과 대단지 아파트의 장점을 고려하면, 장기적인 관점에서 투자 가치를 평가해볼 만합니다.
결론적으로, 둔전역 에피트는 절대적인 분양가가 높은 편이 아니며, 비규제지역의 특성을 고려했을 때 투자 및 실거주 모두에 유리한 선택이 될 수 있습니다. 그러나 지역적 특성과 장단점을 신중히 비교하여 접근하시길 권장드립니다.
'재테크 공부하기' 카테고리의 다른 글
| 엠83, 코스닥 입성 첫날 39.38% 상승 성공적인 데뷔 (0) | 2024.08.23 |
|---|---|
| 전세사기 특별법 개정안: 전세사기 피해자 지원 강화 및 주거안정 방안 (0) | 2024.08.21 |
| 서울 은평구 증산동 DMC 센트럴자이 계약 취소 주택 로또 청약 완벽 가이드 (0) | 2024.08.19 |
| 서울 서초구 방배동 디에이치 방배 아파트 청약 정보 및 분양가 분석 (0) | 2024.08.19 |
| 2024년 원숭이두창 엠폭스 관련주 분석 (0) | 2024.08.17 |
댓글