울산광역시 남구 야음동 번영로 하늘채 라크뷰 청약 정보 분양가 총정리
울산광역시 남구 야음동에 위치한 번영로 하늘채 라크뷰의 청약 정보에 대해 상세히 알아보겠습니다. 이 아파트 단지는 다양한 평형대와 합리적인 분양가로 많은 관심을 받고 있으며, 실수요자와 투자자 모두에게 매력적인 선택지가 될 수 있습니다. 청약 일정, 분양가, 자격 조건 등을 중심으로 깊이 있는 분석을 제공하겠습니다.

번영로 하늘채 라크뷰: 단지 개요 및 입지 분석
번영로 하늘채 라크뷰는 울산 남구 야음동 363-2번지 일원에 위치한 대규모 주거단지입니다. 총 803세대가 8개 동으로 구성되어 있으며, 지하 2층부터 지상 30층까지 다양한 생활 공간을 제공합니다. 이 단지는 선암호수 공원과 인접해 있어 쾌적한 주거 환경을 제공하며, 다양한 평형대와 고급스러운 설계를 갖춘 점이 특징입니다.
단지 주요 정보

- 단지명: 번영로 하늘채 라크뷰
- 주소: 울산광역시 남구 야음동 363-2번지 일원
- 주택 유형: 공동주택(아파트)
- 세대수: 803세대, 총 8개 동 (지하 2층 ~ 지상 30층)
- 주택형: 59㎡, 84㎡, 96㎡, 110㎡, 127㎡
- 용적률/건폐율: 241% / 51%
- 주차 대수: 총 1,103대(세대당 1.37대)
- 입주 예정일: 2027년 11월
- 규제지역 여부: 비규제지역
- 재당첨 제한: 없음
- 전매 제한: 6개월
- 거주의무기간: 없음
- 분양가상한제: 미적용
번영로 하늘채 라크뷰는 비규제지역에 위치해 있어 청약 조건이 비교적 완화되어 있으며, 전매 제한이 6개월로 짧습니다. 울산 내에서 교통과 생활 인프라가 잘 갖춰져 있는 남구에 위치해, 실수요자들에게 높은 주거 편의성을 제공합니다.
청약 일정 및 절차
번영로 하늘채 라크뷰의 청약 일정은 2024년 8월 23일 입주자 모집 공고를 통해 시작됩니다. 이후 9월 2일에 특별공급 접수가 진행되며, 일반공급 접수는 9월 3일부터 4일까지 이루어집니다. 당첨자는 9월 10일에 발표되며, 서류 접수와 계약 체결은 9월 12일부터 9월 27일까지 순차적으로 진행될 예정입니다.
청약 일정

- 모집 공고일: 2024년 8월 23일(금)
- 특별공급 접수일: 2024년 9월 2일(월)
- 일반공급 접수일: 1순위 2024년 9월 3일(화), 2순위 2024년 9월 4일(수)
- 당첨자 발표일: 2024년 9월 10일(화)
- 서류 접수: 2024년 9월 12일(목) ~ 9월 24일(화)
- 계약 체결일: 2024년 9월 25일(수) ~ 9월 27일(금)
이번 청약은 울산광역시 및 인근 지역(부산광역시 및 경상남도)에 거주하는 만 19세 이상의 성년자나 세대주인 미성년자라면 누구나 참여할 수 있습니다. 당첨자는 가점제와 추첨제를 통해 선정되며, 동호수 배정도 무작위로 이루어집니다.
청약 자격 및 당첨자 선정 기준
번영로 하늘채 라크뷰의 이번 청약은 청약통장 가입자들을 대상으로 하며, 울산광역시 및 인근 지역에 거주하는 만 19세 이상의 성년자나 세대주인 미성년자라면 신청이 가능합니다. 당첨자는 가점제와 추첨제를 통해 선정되며, 전용면적 60㎡ 이하 및 60㎡ 초과 85㎡ 이하는 가점제 40%, 추첨제 60%의 비율로, 85㎡ 초과는 추첨제 100%로 선정됩니다.
청약 자격 요건
- 거주 요건: 울산광역시 및 인근 지역(부산광역시, 경상남도) 거주자.
- 청약 통장: 필요 (순위별 자격 요건 충족)
- 재당첨 제한: 없음.
당첨자 선정 방식
- 1순위 가점제: 지역, 가점, 청약통장 유지 기간, 추첨.
- 1순위 추첨제: 지역, 무주택자 우선, 추첨.
- 2순위: 지역, 추첨.
이번 청약은 실수요자를 대상으로 하며, 다양한 평형대가 제공되므로 각자의 조건에 맞는 선택이 가능합니다.
공급 세대 정보 및 분양가
이번 번영로 하늘채 라크뷰의 청약에서는 59㎡, 84㎡, 96㎡, 110㎡, 127㎡의 다양한 평형대가 제공되며, 총 803세대가 공급됩니다. 이들 세대는 실수요자들에게 적합한 중형 및 대형 평형대로 구성되어 있어, 가족 단위 거주자들에게 특히 매력적인 선택지가 될 것입니다.
공급 세대수

- 59㎡: 39세대
- 84A: 359세대
- 84B: 101세대
- 84C: 77세대
- 84D: 64세대
- 84E: 76세대
- 84F: 23세대
- 96A: 2세대
- 96B: 2세대
- 110A: 58세대
- 127A: 2세대
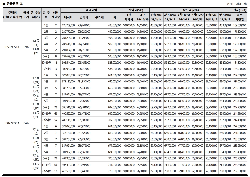
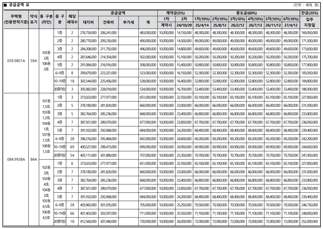
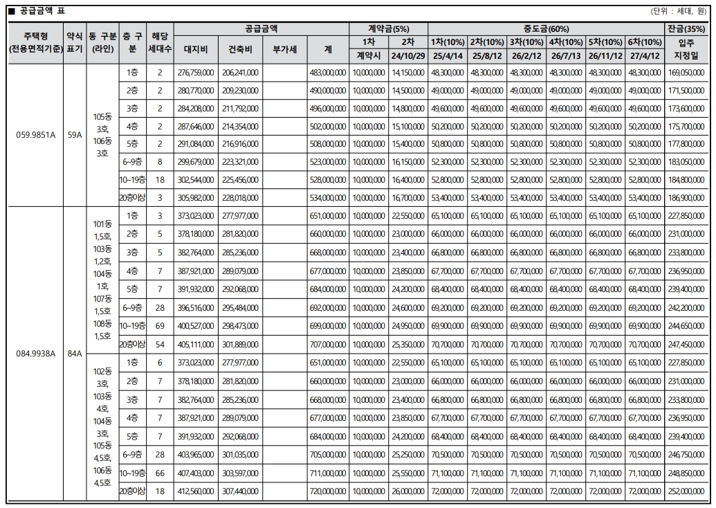
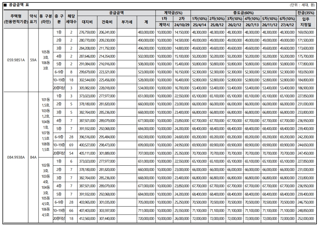
분양가
- 59㎡: 4억 8천3백만 원 ~ 5억 3천만 원
- 84㎡: 7억 1천만 원 ~ 7억 9천만 원
- 96㎡ ~ 127㎡: 9억 6천만 원 ~ 11억 3천7백만 원
발코니 확장비
- 59㎡: 1천8백만 원
- 84㎡: 2천4백만 원 ~ 2천9백만 원
- 96㎡ ~ 127㎡: 3천8백만 원




번영로 하늘채 라크뷰의 분양가는 울산 내 신축 아파트라는 점을 고려했을 때, 합리적인 수준으로 책정되었습니다. 특히 중형 평형대를 원하는 실수요자들에게는 적합한 가격대로, 현재 시세와 비교해 볼 때 경쟁력 있는 선택이 될 수 있습니다.
자금 계획과 납부 일정
청약에 당첨된 후에는 계약금, 중도금, 잔금으로 이어지는 납부 일정을 철저히 따라야 합니다. 계약금은 1차로 1천만 원을 납부하며, 2차 계약금은 분양가의 5%에서 1천만 원을 차감한 금액을 납부하게 됩니다. 중도금은 여섯 차례에 걸쳐 분할 납부하며, 잔금은 입주 시점에 맞춰 납부하게 됩니다.
납부 일정
- 계약금: 1차: 1천만 원 (2024년 9월 25일 ~ 9월 27일)
- 중도금:
1회: 2025년 4월 14일 (10%)
2회: 2025년 8월 12일 (10%)
3회: 2026년 2월 12일 (10%)
4회: 2026년 7월 13일 (10%)
5회: 2026년 11월 12일 (10%)
6회: 2027년 4월 12일 (10%) - 잔금: 입주 시 (2027년 11월 예정)
자금 계획을 철저히 세워 중도금과 잔금 납부 시 문제가 발생하지 않도록 준비해야 합니다. 중도금 대출을 고려하는 경우, 대출 한도와 조건을 미리 확인하는 것이 중요합니다. 입주 시점에 맞춰 주택담보대출을 활용할 계획이 있다면, 금리와 대출 가능성을 미리 파악해 안정적인 자금 운영을 준비하는 것이 좋습니다.
결론: 번영로 하늘채 라크뷰의 기회

번영로 하늘채 라크뷰는 울산 남구의 중심에 위치한 아파트로, 실수요자와 투자자 모두에게 매력적인 선택지가 될 수 있습니다. 이번 청약에서는 다양한 평형대가 제공되며, 중형 및 대형 평형대로 구성된 이 단지는 쾌적한 주거 환경과 더불어 합리적인 분양가로 주목받고 있습니다.
입지와 미래 가치

번영로 하늘채 라크뷰는 울산 남구의 주요 생활 인프라와 인접해 있어 실거주자들에게 높은 편의성을 제공합니다. 이 지역의 발전 가능성을 고려할 때, 장기적인 투자 가치도 충분히 기대할 수 있습니다.
투자 가치
번영로 하늘채 라크뷰는 비규제지역에 위치해 있어 투자자들에게도 유리한 조건을 제공합니다. 전매 제한이 6개월로 짧으며, 청약 자격이 넓게 설정되어 있어 다양한 수요자들이 접근할 수 있습니다.
결론적으로, 번영로 하늘채 라크뷰는 울산 남구 내에서 안정적이고 쾌적한 주거 환경을 제공하는 아파트로, 내 집 마련과 투자를 동시에 고려하는 분들에게 적합한 청약 기회입니다.
'재테크 공부하기' 카테고리의 다른 글
| 소사역 한라비발디 프레스티지 임의 공급 4차 청약 정보 분석 (2) | 2024.09.21 |
|---|---|
| 경기도 이천시 증일동 힐스테이트 이천역 1단지: 입주자 청약 일정 분양가 모집공고 분석 (4) | 2024.09.05 |
| 서울 구로구 개봉동 호반써밋 개봉 84타입 잔여세대 청약 정보 및 분석 (0) | 2024.08.26 |
| 관저 푸르지오 센트럴파크 2단지 무순위(임의 공급 6차) 청약 정보 및 분석 (1) | 2024.08.26 |
| 서울 서대문구 홍은동 서대문 센트럴 아이파크 무순위 청약 정보 일정 분양가 분석 (0) | 2024.08.25 |
댓글